受钢铁冶炼、有色金属采选、电镀等工业活动影响,人类长期以来存在重金属污染问题,随着新一轮国际产业竞争对关键金属需求的加剧,重金属污染问题可能会进一步突出。重金属不可降解、长期存在于土壤等环境介质中,治理重金属的核心前提是掌握其长期迁移机制。我国土壤污染形式严峻,还存在大量重金属污染遗留场地未进行有效治理,只有掌握了场地重金属的长期迁移机制,才能科学制定修复或风险管控策略,进行低碳绿色可持续治理。
针对场地重金属长期迁移机制不明、绿色可持续治理技术欠缺,特别是在侵蚀作用下的环境风险及其治理策略尚未被充分认识的问题,本研究以长江中下游地区广泛分布的下蜀土(粉质黏土)为研究对象,以广泛存在的铅污染(5000 mg/kg)为污染特征,基于自主研发的降雨侵蚀物理模拟装置,研究了强降雨作用下,低碳材料活性氧化镁治理前后下蜀土中铅的侵蚀迁移机制,取得如下创新发现:
1.强降雨作用下,下蜀土中铅的主要迁移机制是径流侵蚀引起的土颗粒共迁移,而非传统认为的化学淋滤迁移;
2.活性氧化镁从物理和化学两个层面阻控了铅的迁移:在物理层面,活性氧化镁通过提升土体抗侵蚀性能可减少92%以上的土壤侵蚀量,并通过与黏粒的结合使侵蚀土颗粒的粘粒含量由母土的17%降至7%,铅浓度由4960mg/kg降至3600mg/kg,稳定态铅占比由79%提升至96%,大幅降低了侵蚀颗粒的环境风险;在化学层面,活性氧化镁可减少71%以上化学淋滤出的铅;
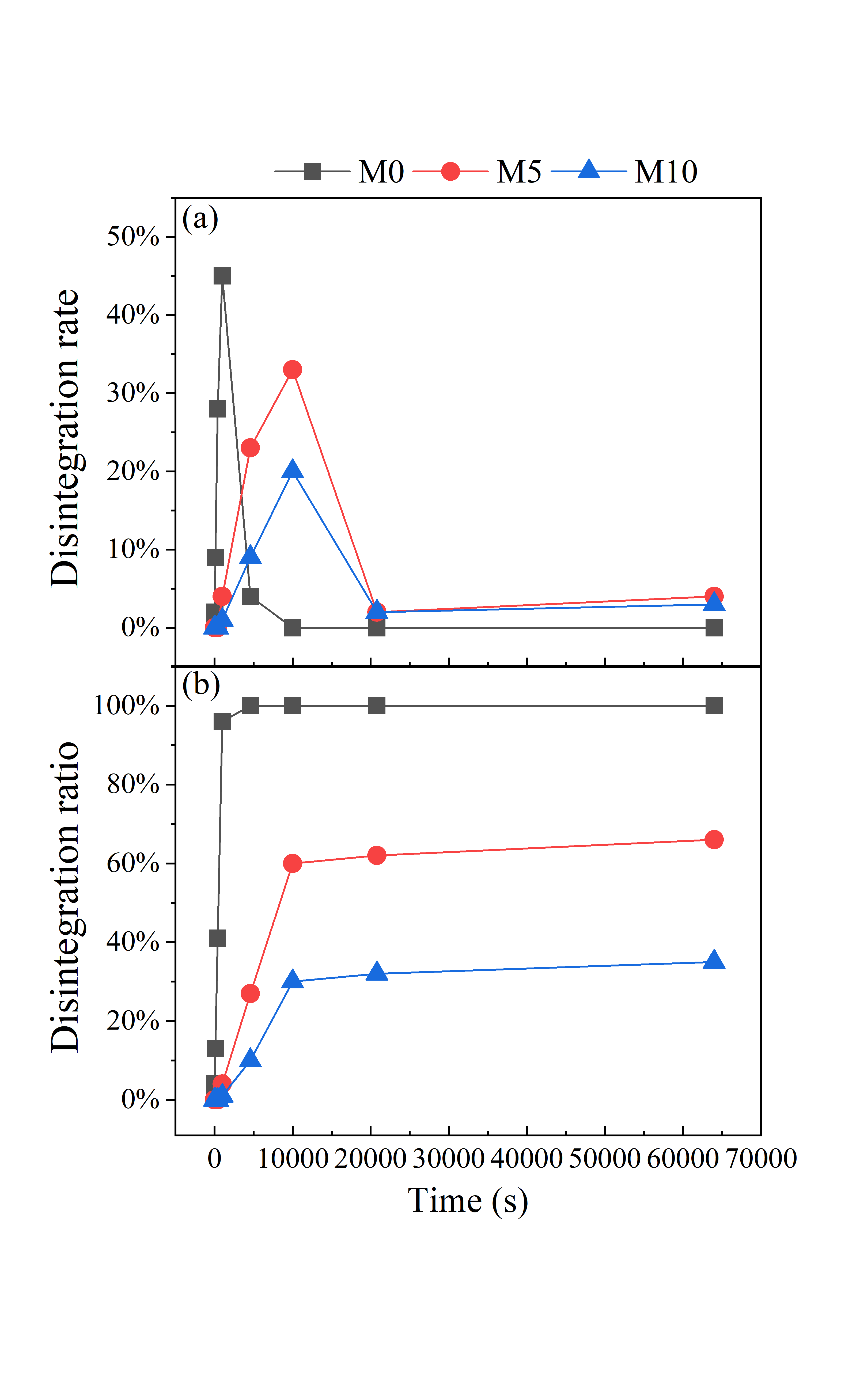
3.水力学实验揭示,活性氧化镁显著延迟铅污染下蜀土的崩解启动时间,并将最终崩解率从100%降至35%。
4.5%活性氧化镁掺量可实现铅污染下蜀土的有效治理,10%掺量可实现铅的近零迁移,本研究从化学稳定与物理固化协同作用的角度,为重金属污染土治理提供了新思路。
上述研究成果近期以“Effect of reactive magnesia on erosion control of a lead contaminated lean clay: insights from runoff, infiltration and disintegration characteristics”为题,发表于岩土工程权威期刊《Géotechnique》,pg电子官网沈征涛副教授为论文第一&通讯作者,pg电子官网施斌教授、唐朝生教授、刘欢助理教授、徐跃硕士、耿源远博士生、英国卡迪夫大学Fei Jin博士、英国萨里大学Benyi Cao博士为论文共同作者。该研究得到国家科技重点专项(2023YFC3707900)子课题、国家自然科学基金面上项目(42277123, 42477187)、中央高校基本科研业务费前沿交叉项目(2024300399)、江苏省自然科学基金青年项目(BK20220787)资助。
全文链接:https://doi.org/10.1680/jgeot.25.00010

图1径流和渗流中淋滤迁移的铅含量

图2径流侵蚀出的铅污染土质量

图3径流侵蚀出的铅污染土粒径分布

图4径流侵蚀出的污染土铅含量和形态分布

图5活性氧化镁治理前后铅污染土的崩解速率和崩解率
图文:沈征涛
审核:陈天宇

