非水相(Non-aqueous phase liquid, NAPL)有机污染场地的精细刻画是场地高效低耗修复前提。在NAPL相近似绝缘以及油-水界面特殊电学性质的基础上,地球物理直流电法凭借其非侵入性、快速且低成本的优势被广泛应用于刻画NAPL污染场地。岩石物理模型是决定直流电法在实际场地成功应用的前提。在获得地下介质的电阻率后,通常采用阿奇定律(Archie’s law)这一岩性物理模型建立的电阻率与NAPL饱和度间的关系来估计地下介质的NAPL饱和度。然而,阿奇定律并未考虑孔隙中NAPL的赋存形态对电阻率的影响,仅适用于特定润湿性的多孔介质,在实际场地中应用的有效性仍存在争议。
本研究制作了具有不同润湿性的二维微孔隙模型,在可视化实验条件下测量了NAPL驱替过程中的电阻率和NAPL形态变化,进而探讨了孔隙中残留NAPL形态对电阻率影响的内在机理。如图1所示,由于润湿性不同,以相同速度向微模型注入盐水进行驱替后,不同介质中残留的NAPL分布会出现差异。即使在微孔隙模型中的NAPL饱和度相同的条件下,其电阻率响应也会出现偏差(图2)。

图1 二维水润湿(WW)与油润湿(IW)微孔隙模型经水驱替后产生的残留NAPL分布

图2 不同驱替速度下水润湿(WW)与油润湿(IW)微孔隙模型电阻率指数随水饱和度的变化
基于对NAPL形态,孔隙水相的拓扑性质,以及岩性物理模型参数间关系的分析,本研究主要取得了以下新认识:
(1)多孔介质的电阻率与NAPL赋存的位置有关(图3),残留在死端孔隙中的NAPL不会影响介质中电流流通的路径,因而对介质整体的电阻率没有显著影响。
(2)在孔隙介质中,导电相(通常是水相)的欧拉数与介质电阻率间存在相关关系,其相关性的具体表现形式(相关指数β)由残留NAPL的大小控制(图4)。在非水润湿的介质中,NAPL会以较大残留态赋存,此时水相的欧拉数与介质电阻率间将呈现标准的幂律相关关系(图4c)。
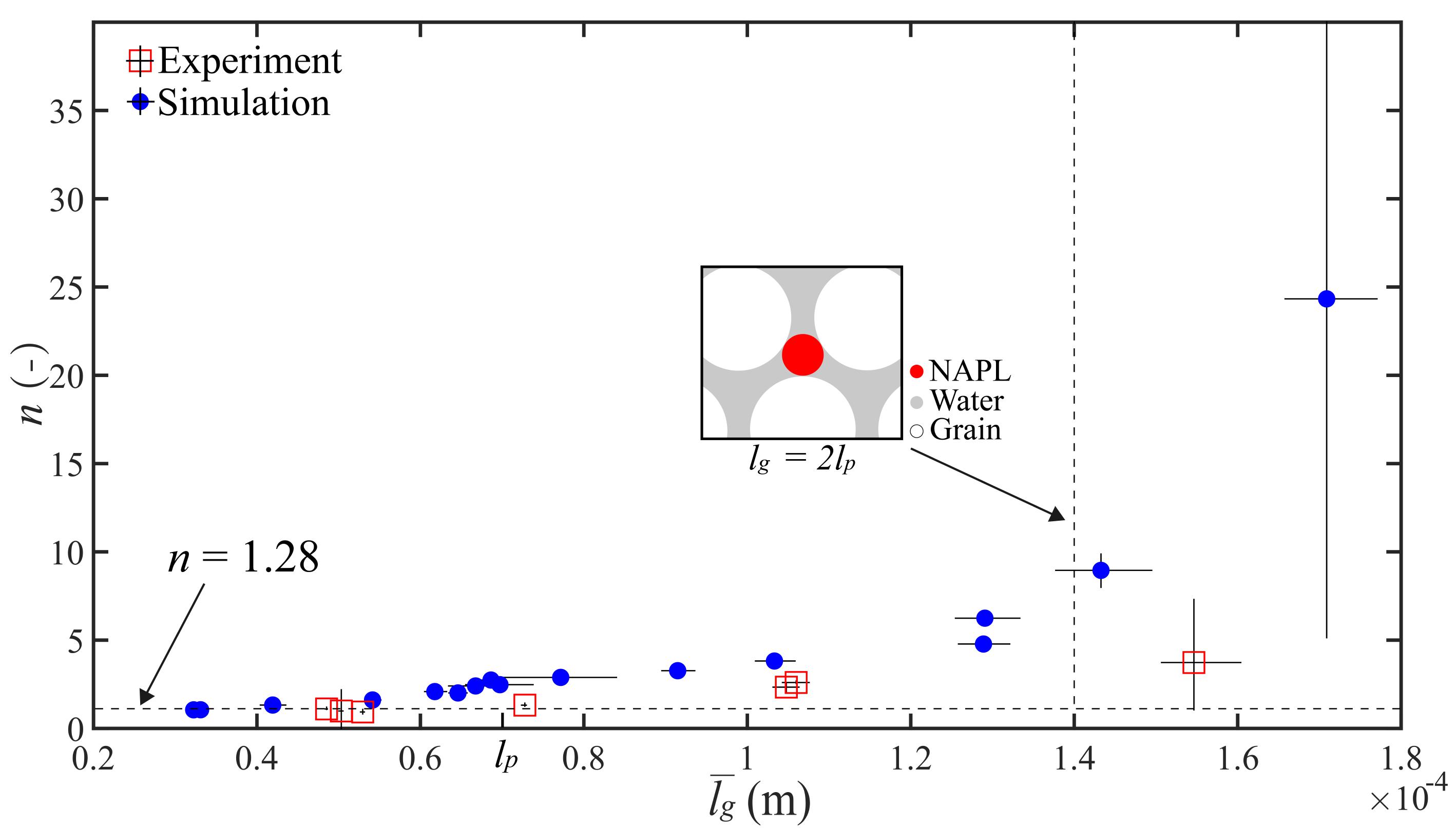
(3)阿奇定律的适用性同样与NAPL的形态有关,其饱和指数与残留NAPL的平均大小呈幂律相关关系(图5)。在室内和野外观测中,介质属性、饱和度、驱替速度等因素决定了残留NAPL的大小,从而影响饱和指数的选取。

图3 模拟NAPL位于孔隙中的不同位置时的电阻率指数随水饱和度的变化

图4 在基于欧拉数与电阻率间关系的岩性物理模型中,指数β随孔隙中NAPL的平均大小变化的模拟与试验结果

图5 阿奇定律中的饱和指数随孔隙中NAPL平均大小变化的模拟与试验结果
(注意当NAPL较小时,饱和指数的极限值趋近于前人在二维水润湿介质中的实测值1.28)
该研究揭示了包括阿奇定律饱和指数在内的电法岩性物理模型参数的内在机理,为地球物理电法的应用和数据的准确解译提供了理论支撑。在基于用电阻率数据推估NAPL饱和度时,应考虑介质属性与NAPL的分布状态,从而更准确推估NAPL饱和度。
上述成果以“Residual NAPL morphology effects on electrical resistivity: insights from micromodel displacement experiments and pore network simulations”发表于水文水资源领域权威期刊Water Resources Research。pg电子官网博士研究生强思远为论文的第一作者,施小清教授为通讯作者,其他合作者包括法国萨瓦大学 André Revil 教授,康学远博士、刘媛媛教授和吴吉春教授。该研究得到国家自然科学基金(41977157, 42272276)资助。
引用格式
Qiang, S., Shi, X., Revil, A., Kang, X., Liu, Y., & Wu, J. (2022). Residual NAPL morphology effects on electrical resistivity: Insights from micromodel displacement experiments and pore network simulations. Water Resources Research, 58, e2022WR033233.https://doi.org/10.1029/2022WR033233
本文原始数据和图像处理代码已公开:https://doi.org/10.5281/zenodo.6809646

